编者按:创新是引领发展的第一动力。近年来,beat365官方网站坚持"四个面向",持续深化科研体制机制改革,在基础研究和社会服务领域不断取得突破。为营造尊重创新、鼓励探索的学术生态,激励更多师生在服务国家战略中贡献"九院智慧",学校设立"创新成果奖",今日起,校园网将持续刊发学校科学研究和社会服务“创新成果奖”获奖团队经验材料。让我们以获奖团队为榜样,共同书写新时代高校科技创新的奋进篇章!
1.成果概要及研究价值
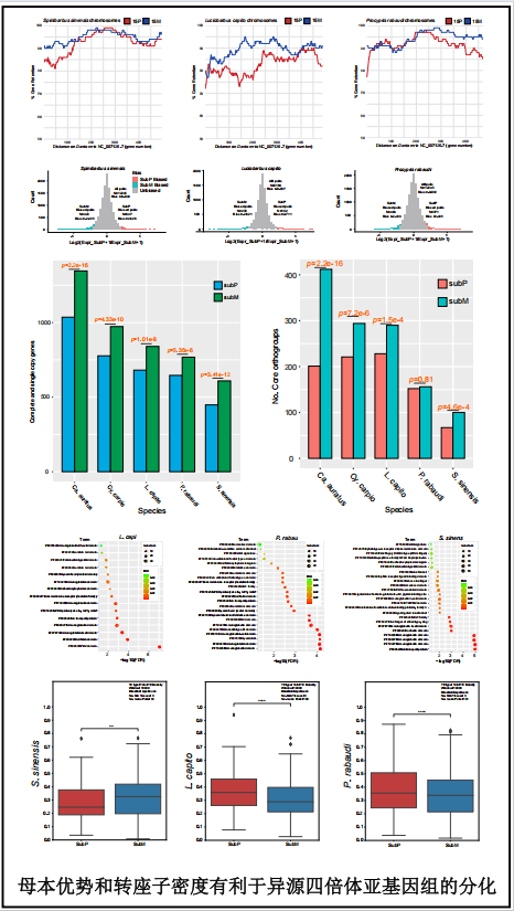
团队首次系统解析了多次独立多倍体化异源四倍体鲤科鱼类亚基因组的起源和提出了亚基因组不对称进化的普遍规律;首次在动物中发现来源于母本的亚基因组显著富集免疫相关的串联重复基因,揭示了母本亚基因组在多倍体鲤科鱼类适应外界环境中起重要作用。上述研究结果对阐明亲本基因组融合后的不对称进化规律、多倍体物种的形成、基因组变异模式及其对性状形成的影响等具有重大意义。

2.成果创新之处
团队首先解析了三个独立多倍体化事件的异源多倍体鲤科鱼类及可能的二倍体祖先的高质量基因组图谱;然后在全基因组水平上比较核基因和线粒体基因的系统发育树,确定了亚基因组的母本和父本二倍体祖先;最后通过对多组学数据的深入挖掘,发现了多次独立多倍体化的异源四倍体鲤科鱼类亚基因组不对称进化的客观规律,揭示了母本亚基因组在多倍体鲤科鱼类适应外界环境中起重要作用。



3.成果主要影响力
团队在Nature Communications期刊的研究成果入选10项代表2023年我国农业科技前沿、取得重大突破性进展的基础科学研究成果。2024年12月,成果以中国农业科学重大进展的形式在《2024中国农业科技发展论坛暨全球农业研究热点前沿与科技竞争力成果发布会》面向全球进行发布。此外,在2023年中国水产学会青年学术年会、江西省水产学会2023年学术年会暨江西省鲤鲫鱼遗传育种技术研讨会上作题为“母本优势有助于异源四倍体鱼类的亚基因组分化”特邀报告,在领域内产生了很高的影响力和知晓度,弘扬了我省水产行业学者在基础研究中的创新精神。(完成人:张化浩、张小谷)


科研处供稿
责编:向真 审核:张化浩 汪浩